
Dette vil ske, hvis han får akut skrumpediller

Når man nu ved, at langt de fleste kvinder ikke kan få orgasme ved penetration alene, så bør diller-størrelsen ikke have så stor betydning for kvindernes seksuelle nydelse.
Eller hvad?
Et nyt videnskabeligt studie giver måske på svar det evige spørgsmål: Størrelsen eller gørelsen? Og på mange mænds største bekymring: Er den stor nok?

Metode
De britiske forskere har udviklet en ny metode til at måle, om dillerstørrelsen betyder noget - altså i forhold til længde, ikke tykkelse.
29 par deltog. Mændene afprøvede fire forskellige penisringe af varierende tykkelse under en række knald. Penisringe, som vel at mærke gør pikken lidt kortere, når de sidder ved roden, så manden ikke kommer så dybt, som han plejer.
Disse penisringe gør underværker for din erektion
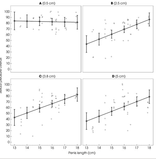
De fire ringe var fra halv centimeter til fem centimeter tykke - og det er således også, hvor meget mindre hans penis pludselig bliver.

De fire penisringe, som blev brugt i undersøgelsen.

Så meget krymper din penis i kulden
Kvinderne
Kvinderne måtte ikke se, hvilken ring manden brugte. Efterfølgende skulle kvinderne fortælle, hvor meget nydelse de oplevede under samlejet.
Og det viste sig, at de skrumpede dillere gav mindre nydelse: I gennemsnit 18 procent. Ringen på 2,5 centimer mindskede således nydelsen med 18 procent.

Denne penisstørrelse giver kvinder flest orgasmer
Det kan der så være flere grunde til, anfører forskerne. Som ikke nødvendigvis skyldes de færre centimeter i sig selv.
# Selve situationen, hvor parret er bevidste om, at de deltager i et eksperiment og dermed ikke giver sig lige så meget hen, er næppe befordrende for nydelsen.

Danske Misse finder landets største diller til sin nye pornofilm
# Det faktum, at manden ikke kommer lige så dybt som ellers, og at parret dermed ikke har sex, der føles, som det ellers gør, vil nok også forstyrre på oplevelsen. Mændene angav da også, at knaldestilen i 30 procent af sexsessionerne var ændret meget og ekstremt meget.
# 40 procent af kvinderne opdagede alligevel, hvilken ring der var i brug, og det kan også have farvet oplevelsen.
# En deltager klagede over, at ringene gav lidt slidsår på kønslæber og klitoris. En anden meldte, at ringene gjorde mandens penetrationsvinkel anderledes og ikke optimal. Begge dele er selvfølgelig også med til at trække nydelsen ned.

Nu kan du spille PIK med vennerne
Udgangspunktet
Der var også opdagelser, der understøtter forskernes konklusion :
Jo længere pikken var til at begynde med, desto mindre påvirkede penisringene oplevelsen.

Graferne viser, at skrumpediller især betyder noget, hvis penis til at begynde er i middelstørrelse på 13-14 centimeter: Fx i B, hvor manden fik en 2,5 centimeter tyk ring på, var sexnydelsen i den lave ende. Men havde manden 18 centimeter, betød penisringen næsten ingenting.
Det giver jo god mening: Har man 20 centimeter at gøre godt med, betyder et par centimeter færre ikke så meget.
Men er man udstyret med fx 12 centimer, kan det være nogle afgørende centimeter, der opleves som manglende...
'On average there is a significant reduction in sexual pleasure with reduced depth of penetration which is moderated by the penis length. Our results should not be misinterpreted as meaning that increasing penile length in a normal man will increase sexual pleasure in his female partner.'

Her er frugten der gør din penis større
Større diller
Desværre kan forskerne ikke umiddelbart undersøge om en forstørret pik omvendt vil give 18 procent mere nydelse.
Det ville jo kræve, at kvindernes skulle afprøve forskellige sexpartnere i diverse størrelser. Og så vil man jo ikke entydigt kunne afgøre, om det var den enkelte elskers størrelse eller gørelse, der betød noget.
Altså voterer juryen stadig i forhold til størrelsen.
Og den eneste sikre konklusion på studiet må dermed være: Akut skrumpediller er ikke godt.
Drømmer du om større penis? Sinful.dk har hjælpen
[node:aller-poll]